如果食物發酵了,你還敢吃嗎?
這裡的發酵指的可不是變質,如果你真的覺得所有的發酵都是變質,那麼你一定太單純了。
有的時候,發酵也是一種好的儲存食物方法。
發酵的本質,是把細菌或其他微生物放在食物之中,讓食物分解改變,甚至是轉化。
在這一系列反應之後,食物變得更容易被人們所吸收,也可以給我們帶來更多一方面的幫助。
在遠古時期,微生物就在我們的身邊,無處不在了,如果是寒冷的地區還好,在炎熱的地區稍稍儲存不好食物就會被微生物所清洗而變質。
距今1萬年前世界上還沒有冰箱,大家都對儲存食物這件事非常焦慮,稍微儲存不好就沒法吃了。
可也正是因為這一現象,有的人就找到了故意讓食物發酵的方法,用特殊的發酵方法把食物處理後,儲存時間就會顯著延長。
這次之後發酵就已經融入到人類的生活當中,幫助我們保護更多的食物,並且調整身體中的細菌。
可是發酵真的會對健康有益嗎?為什麼有人說發酵之後的食物可以幫助緩解慢性病呢?
一、發酵食物可以緩解慢性病。
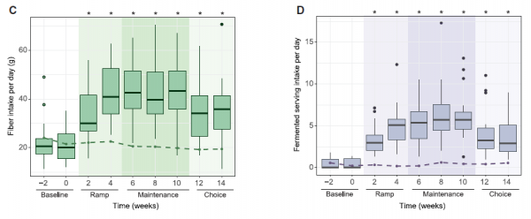
在美國斯坦福大學,研究人員就提出了這方面的猜想,想透過實驗論證,發酵食物是如何保護身體健康的。
在開始實驗的時候,他們找到了36名志願者,保持為期10周的飲食習慣,之後看看她們的身體情況怎麼樣。
實驗開始之後,他們被分成了兩組,一組飲食相對健康,什麼都吃,無論是水果還是蔬菜,只要是正常的食物,他們都攝入。
而另一組是實驗組,除了上面所提到的健康飲食之外,還特別注重發酵食物的作用,每天都會增加發酵食物,比如酸奶,酸菜或者泡菜。
在試驗之後,有工作人員把它們的排洩物收集起來,然後化驗一下看看她們的身體有什麼變化。
跟大家想象中一樣,經常吃發酵食物,腸道中的細菌出現了改變,有益菌比以前變多了。
而且在血液中可以觀察到,細胞因子和趨化因子都較之前有所下降,這兩種因子可不簡單,和慢性病息息相關。
也就是說在經常吃發酵食物之後,二型糖尿病或者風溼性關節炎的病情會比以前改善。
所以也有人提出經常吃發酵食物,對很多慢性病是有益的,鼓勵大家保持這種飲食方式。
二、發酵飲食更健康。
你有沒有想過,發酵之後的飲食其實會更健康一些呢?
在之前大家都會覺得發酵不是什麼好詞彙,和腐敗變質歸為一類,但實際上發酵並沒有那麼簡單。
我們所說的發酵食物其實都是成功並且安全地發酵,裡面含有的細菌都是對身體有益的細菌。
最主要的改變就是,可以增加腸道中的有益菌,這種有益菌活躍起來會讓腸道變得更加健康,而且可以促進人體正常的新陳代謝,有效地增強免疫系統的能力。
所以在生活中我們應該增加這類食物的攝入,但是哪些食物是發酵的呢?我們應該如何選擇呢?
在這裡推薦4種食物,這4種食物都是發酵食物,但是平時特別不起眼,你可能在不知不覺中就忽略了他們。
- 1.酸奶。
其實一提到發酵食物,大家最先想到的就是酸奶,酸奶在發酵的過程中會產生大量的乳酸菌,而且會生成很多我們人體所需要的維生素。
對人體的健康非常有益,可以幫助我們改善腸道狀況,而且會增加牛奶的利用率,幫助牛奶更好地消化和吸收。
除此之外,酸奶還可以給我們提供更多的鈣離子,補充鈣質。
- 2.臭豆腐。
如果我不說你能想象嗎?臭豆腐其實也是發酵食物,而且是對身體有益的發酵豆製品。
雖然經過發酵,但是蛋白質的營養不會減少,反而更有利於人體的消化和吸收。
除此之外,發酵的豆製品還包括豆瓣醬,腐乳。
但是這個食物選擇的時候要注意,少吃一點,千萬別吃得太鹹。
- 3.普洱茶。
如果你願意喝茶,那就多試試普洱吧,普洱茶也是需要發酵才能最後產出的,很多人並不知道普洱茶其實也是發酵食物。
多喝普洱可以有益身體的健康,這和發酵離不開關係,但是也要注意喝茶別太濃,否則也不利於健康。
- 4.酸菜。
在我國東北地區,酸菜其實是家喻戶曉的美食,一到冬天,酸菜粉條和豬肉就每天都混在一起。
適當攝入,對身體非常有益。
但是在吃的時候一定要注意,和發酵豆製品一樣,不要吃得太鹹。
參考文獻
[1]葉雷.發酵食品:有利於心臟健康?[J].心血管病防治知識(科普版),2019(19):21-23.
[2]Wastyk HC, Fragiadakis GK, Perelman D, et al. Gut-microbiota-targeted diets modulate human immune status. Cell. 2021;184(16):4137-4153.e14. doi:10.1016/j.cell.2021.06.019
