對於經典物理學:
1687年,英國,牛頓,《自然哲學的數學原理》,機械運動。 --力學
1803年,英國,楊氏干涉,光的波動性。 --光學
1865年,英國,麥克斯韋方程組。 --電磁學
1858年,德國,克勞修斯:氣體分子運動論。 --統計物理學
1897年,英國,湯姆遜研究陰極射線發現了電子,初步實驗證明它的行為類似於一個牛頓粒子 (F = m a)。
物理學在當時看來似乎已經發展到很完善的階段。但隨著時代的進步,經典物理學在處理一些問題上遇到了困難。
一、黑體輻射問題
關於這方面的一些概念如下:
輻射(Radiation):場源發出的,脫離場源向遠處傳播的電磁能量,以電磁波或粒子的形式向外擴散。
熱輻射:自然界中的一切物體,只要溫度高於絕對零度,都以電磁波和粒子的形式時刻不停地向外傳送熱量,這種傳送能量的方式被稱為熱輻射。
黑體:在任何條件下,對任何波長的外來輻射完全吸收而無任何反射的物體。例如:建築物上黑洞洞的窗戶。黑體在吸收所有入射輻射的同時也會向外發射輻射。
輻射能量密度函式:當黑體吸收和發射輻射達到平衡 時,發出的輻射的能量按照波長或者頻率的分佈。
1.維恩公式(1893):經典熱力學+實驗,高頻段符合。
2. 瑞利—金斯公式(1905):經典電動力學和統計物理,低頻段符合。
可見,上述兩式並無一式能完全符合影象。
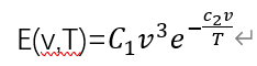
3.普朗克公式(1900)
前提假設:
1)組成黑體的分子和原子在圍繞平衡位置做振動時 (可視為三維諧振子)可以發射和吸收輻射。
2)這些諧振子只能處於某些分立的狀態,諧振子的能量只能是某一最小能量的整數倍E=nh
普朗克常數:h = 6.6260755×10-34 J·s
與實驗結果驚人的符合。
能量的量子化假設:諧振子的能量E只能是某一最小能量 的整數倍 ε,2ε ,3ε,4ε,··· ,nε,n為整數,稱為量子數;ε稱為能量量子。在此基礎上可知輻射的發射也是量子化的。 能量的量子化假設並沒有立即被人們接受。但沒有其他辦法能更好地解決黑體輻射問題。
二、光電效應
光照射到金屬上,有電子從金屬表面逸出。當光的頻率大於某值v0(稱為臨界頻率)時,才有光電子逸出。逸出電子的能量只是與光的頻率有關,與光強無關。
經典電磁理論:光的強度I 相關於A 2(振幅)與頻率無關,與實驗矛盾。
1905年,愛因斯坦
1.輻射能量的傳播是分立的,即輻射場的能量由光量子組成,簡稱光子:E=hv
2.電子每次只能吸收一個光量子的能量E = hv,逸出金屬表面的電子能量為:
輻射的發射,傳播和被吸收的能量也是量子化的。
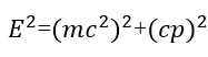
關於光量子的性質如下:
光量子能量:
由相對論:
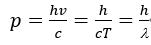
如果把光量子看成是無質量的“粒子”,m=0
光量子的“動量”:
光子的實驗證明:
1922年,美國,康普頓散射。石墨中的電子對X射線的散射,散射波的波長比入射波的波長略大。實驗解釋:把X射線看成由光子組成。光子像粒子那樣,和電子相撞時將部分能量和動量交換給電子,造成光子運動方向改變、能量/頻率下降,波長變長。
未完待續
