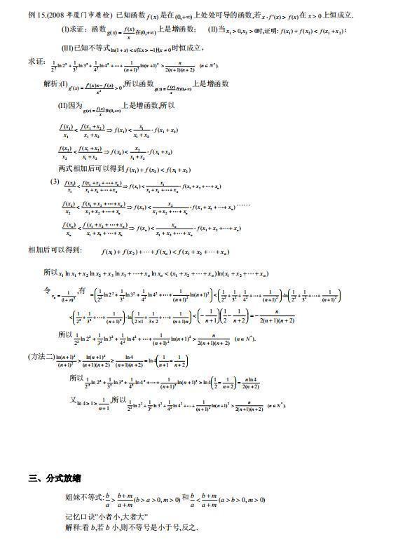
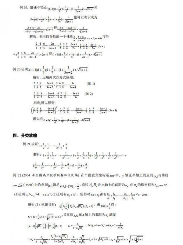
高中各科學習具有知識量大、理論性強、系統性強、綜合性強以及能力要求高五個方面的特點。然而,知識點是零亂的,不利於記憶和掌握。只有把它們串起來,形成一個體系,才有助於快速高效掌握知識。
篇幅有限,只能上傳部分截圖,大家可私信我獲取完整版資料。
點選我頭像,私信“資料”,即可領取。
高中各科學習具有知識量大、理論性強、系統性強、綜合性強以及能力要求高五個方面的特點。然而,知識點是零亂的,不利於記憶和掌握。只有把它們串起來,形成一個體系,才有助於快速高效掌握知識。
篇幅有限,只能上傳部分截圖,大家可私信我獲取完整版資料。
點選我頭像,私信“資料”,即可領取。
 
			
						 
			
						 
			
						 
			
						 
			
						 
			
						 
			
						 
			
						 
			
						 
			
						 
			
						 
			
						 
			
						 
			
						 
			
						 
			
						