隨著微電子器件尺寸的不斷縮小,矽化鎳(NiSi)廣泛用做互補金氧半導體(CMOS)電晶體源極、漏極和柵極的接觸材料。然而,NiSi薄膜在高溫的不穩定性嚴重限制了鎳矽薄膜的效能和使用壽命。當熱處理溫度高於500 oC時,NiSi薄膜發生反潤溼(或聚結)現象,形成許多小的NiSi“孤島”, 被高電阻的Si基體分開,破壞了整體薄膜的低電阻特性而使薄膜失效。為了避免這種有害的聚結行為,提高鎳矽薄膜的形貌穩定性迫在眉睫。
此外, NiSi薄膜的織構、Si在NiSi/Si介面上的擴散和晶粒長大等均對NiSi薄膜反潤溼過程有影響,且實驗上缺乏對NiSi薄膜反潤溼過程動力學的研究。因此,目前NiSi薄膜反潤溼過程機理的機理尚不明確。
針對以上問題,中南大學的張利軍團隊和法國艾克斯-馬賽大學的Dominique Mangelinck團隊合作,採用原位掃描電子顯微鏡(in-situSEM)技術結合三維相場模擬,研究NiSi薄膜沉積在Si基體上的反潤溼過程,揭示了NiSi薄膜在Si基體上反潤溼過程的機理。相關論文以題為“Dewetting of Ni silicide thin film on Sisubstrate: In-situ experimental study and phase-field modeling”發表在材料期刊Acta Materialia上。
論文第一作者為中南大學和艾克斯-馬賽大學聯合培養博士生高建寶,通訊作者為中南大學張利軍教授和艾克斯-馬賽大學Dominique Mangelinck教授,合作者還包括里昂大學的Annie Malchère博士和Philippe Steyer副教授,中南大學的楊勝蘭博士,艾克斯-馬賽大學的Andrea Campos博士,羅婷博士,Khalid Quertite博士和Christophe Girardeaux教授。
論文連結:
https://doi.org/10.1016/j.actamat.2021.117491
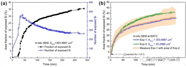
在該項工作中,研究人員首先透過物理氣相沉積技術沉積15 nm Ni薄膜在Si(100)基體上,將樣品原位加熱至600 oC並保溫,採用原位SEM技術首次原位觀測了NiSi薄膜在Si(100)基體上反潤溼(或聚結)的過程(見圖1),並測量得到該過程的動力學演化曲線(見圖2)。透過電子背散射衍射 (EBSD) 研究了NiSi 多晶薄膜聚結過程中織構的演變(見圖3),發現NiSi多晶薄膜聚結過程中擁有Fiber織構的晶粒不斷長大,透過不斷消耗隨機取向的晶粒。
圖1. 600 oC下原位保溫,原位SEM觀測15nm Ni 薄膜(生成30nm NiSi薄膜)在Si(100)基體上微觀結構隨時間的演變:(a)23分鐘,(b) 32 分鐘,(c) 194 分鐘,(d) 287 分鐘。白色和灰色區域是NiSi 相,黑色為暴露於表面的Si 基體。(綠色區域為樣品表面上的標記)
圖2. Si(100) 基體上15 nm Ni薄膜(生成30nm NiSi薄膜)在600oC 下原位SEM 觀測時,暴露於表面Si 的動力學演化曲線:(a)表面暴露Si的面積分數和暴露區域數量隨時間的變化,(b)不同放大倍率下(觀測面積分別為303μm2 和20.3 μm2)原位SEM 結果中表面暴露Si的動力學曲線對比:橙色區域代表低倍率實驗的測量誤差(Exp-1: 總面積為303.47 μm2) , 其使用的測量面積與高倍率實驗相同 (Exp-2: 總面積為20.30 μm2) , 誤差範圍取自統計結果的最大值和最小值。
圖3. Si(100) 基體上沉積15nmNi 薄膜(生成30nm NiSi薄膜)的EBSD取向圖:(a)在600oC 下的快速熱處理(RTP) 60 秒,(b) 在600oC下的真空退火24 小時;(c) 兩組實驗的粒徑分佈;Si(100) 基體上沉積的15nmNi 薄膜(生成30nm NiSi薄膜)的極圖:(d)在600 oC 下快速熱處理 60 秒和(e) 在600 oC 下真空退火 24 小時。
隨後,採用三維相場模擬揭示了單晶矽基底上的NiSi多晶薄膜在反潤溼過程中晶界開槽和晶粒聚結的機理。模擬結果表明,異常晶粒長大在NiSi多晶薄膜的反潤溼過程中起著重要作用,NiSi/Si和NiSi/NiSi介面上不同取向差導致的介面能和晶界能的差異,是NiSi多晶薄膜聚結(見圖4)的主要驅動力,晶粒聚結的動力學取決於各種取向晶粒的體積分數和取向分佈(見圖5);晶界開槽(見圖6)優先從取向差較大的NiSi晶界處開始,其動力學主要取決於NiSi晶粒之間的取向差分佈。
圖4. 600 oC 下Si 基體上30 nm NiSi 薄膜反潤溼過程中微觀結構演變的三維相場模擬結果:不同高角度取向差晶粒(HAMG) 分數,(a) 各向同性晶粒,(b) fHAMG=77.25%, (c) fHAMG=56.70%, (d) fHAMG=30.67%, (e) fHAMG=77.25%。不同的顏色代表不同的NiSi方向,Si基體表示為透明的。
圖 5. 在600oC下,原位SEM 觀測和三維相場模擬Si(100)基體上30 nm NiSi 薄膜反潤溼過程中表面Si暴露動力學結果對比:(a)和(b)中動力學曲線均以暴露Si面積分數達到3.0%的時刻作校準:(a)模擬組A至E,(b)模擬組A、D和F,(c)模擬早期A-F組的原始結果。
圖6.600 oC下Si基底上30nm的NiSi薄膜開槽過程中微結構演變的三維相場模擬結果(縱向截面圖):相同結構但不同的取向分佈,(a)fHAMG=30.67%, θNiSi2/Si= 5o, θNiSi3/Si = 10o,θNiSi2/NiSi3=15o,(b) fHAMG=30.67%, θNiSi3/Si=15o,θNiSi4/Si=10o, θNiSi3/NiSi4=5o。不同的顏色代表不同的NiSi方向,Si基體表示為透明的。
最後,三維相場模擬耦合實驗資訊(NiSi晶粒的取向分佈和平均晶粒尺寸),重現了原位SEM觀測到的30 nm NiSi多晶薄膜在600oC下的聚結過程(見圖7)。根據定量相場模擬結果,增加低角度晶粒的體積分數或減少NiSi晶粒和Si基體之間的取向差,能有效抑制或減緩NiSi薄膜發生反潤溼。
實踐證明,原位實驗結合三維相場模擬是解釋材料過程物理背景的有利工具!
圖7. 三維定量相場模擬耦合實驗資訊(實際的取向分佈和初始平均晶粒尺寸),重現600oC下單晶Si 基體上30 nm NiSi 薄膜反潤溼過程的微觀結構演變:(a)相場模擬的取向場結果,其中不同顏色代表NiSi 的不同取向,黑色表示Si 襯底,(b)相場模擬的相場結果,其中灰色代表NiSi 相,黑色代表暴露的Si 襯底,(c)原位SEM 結果。模擬的初始微觀結構是透過耦合實驗的取向差分佈和原位SEM 結果的初始平均晶粒尺寸而構建。
通訊作者:
張利軍,博士,中南大學教授,博士生導師,德國“洪堡學者”、湖南省湖湘青年英才、湖南省傑出青年基金獲得者。主要從事計算熱、動力學及其驅動的材料設計與製備領域研究工作。近年來主持國家級研究專案15項,省、校級和企業橫向課題10餘項。累計在npjComputational Materials、ActaMaterialia等40餘種材料領域期刊上發表第一/通訊作者論文120餘篇,在國際會議上做大會邀請/口頭報告30餘次,組織/共同組織重要國際會議3次、國內會議5次。作為主編在瑞士出版專著1本,出版專著章節3部。已授權中國發明專利2項、中國軟體著作權2項。課題組主頁:www.ppmgroupcn.com。
Dominique Mangelinck,教授,現任法國國家科研中心(CNRS)研究主任,法國艾克斯-馬賽大學普羅旺斯微電子奈米科學研究所(IM2NP)金屬材料部門主任,原子探針層析技術(APT)平臺負責人; 主要從事微電子材料中的反應擴散、半導體摻雜、薄膜反應、奈米線增長和原子探針斷層掃描(APT)等領域。已在ActaMaterialia, Applied Physics Letters, Scripta Materialia, Journal of AppliedPhysics等國際權威期刊上已發表高水平論文170餘篇,其中單篇被引最高330餘次,SCI被引總計3000餘次,會議特邀報告40多次,擁有專利4項,主持多項國家級專案。專案來源包括法國國家科學基金會,歐洲基金會,新加坡科技研究局以及法國工業界等。1999年獲新加坡國立大學傑出大學研究員,2003年獲法國國家研究中心(CNRS)銅獎。個人主頁:https://www.im2np.fr/fr/dominique-mangelinck。
*感謝論文作者團隊對本文的大力支援。
本文來自微信公眾號“材料科學與工程”。歡迎轉載請聯絡,未經許可謝絕轉載至其他網站。
