新冠病毒的可怕之處,在於它不僅會引起呼吸道的症狀,還會影響其它組織和器官。最近,一些研究發現部分年輕人在感染新冠後,竟然出現了帕金森病的症狀!而一篇最新論文則表明,這可能不是偶然……
在美國化學會旗下的ACS Chemical Neuroscience期刊上,研究人員們發現新冠病毒的N蛋白可以和α-突觸核蛋白相互作用,加速澱粉樣沉積的形成。而α-突觸核蛋白,正是帕金森病的典型病理蛋白之一。
由病毒感染引起神經退行性病變的案例並不罕見。在1918年的流感大流行期間,人們就發現同期的昏睡性腦炎病例有所增加,隨後也出現了不少腦炎後的帕金森病。只是人們不知道,究竟是病毒感染帶來的免疫反應影響了大腦,還是病毒可以直接影響大腦。
對於帕金森病等神經退行性疾病來說,某些蛋白的異常積聚是典型的病理特徵。一旦積聚開始發生,就會從一個細胞“傳播”到另一個細胞,進而影響大腦功能。先前一些研究也表明,阿爾茨海默病與某些病毒感染存在一些關聯。
圖片來源:123RF
基於一些年輕人在感染新冠後出現的帕金森病症狀,研究人員們決定探索這兩種疾病之間的關聯。具體來看,他們使用一種熒光探針來標記α-突觸核蛋白澱粉樣原纖維,並探索新冠病毒對於沉積形成速度的影響。
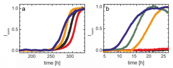
在沒有新冠病毒存在的情況下,研究人員們發現α-突觸核蛋白需要240小時以上,才會積聚形成原纖維。當研究人員們在試管中加入新冠病毒的刺突蛋白(S蛋白),沉積的形成速度也沒有發生變化。
有意思的是,當他們加入來自新冠病毒的N蛋白後,沉積形成的速度大大加快——僅需要不到24個小時,α-突觸核蛋白就可以發生積聚!
▲新冠S蛋白(左圖)與N蛋白(右圖)對α-突觸核蛋白沉積速度的影響。左圖黑色為α-突觸核蛋白對照,紅色、橙色、藍色分別代表加入了0.1 μM、0.5 μM以及1.0 μM的S蛋白;右圖黑色為α-突觸核蛋白對照,紅色、橙色、綠色、藍色分別代表加入了0.1 μM、0.5 μM、0.8 μM以及1.0 μM的N蛋白(圖片來源:參考資料[1])
進一步研究發現,新冠病毒的N蛋白和α-突觸核蛋白可以透過彼此之間相異的電荷直接結合!在模型中,每一個N蛋白可以結合至少3-4個不同的α-突觸核蛋白。
為了確認在試管中觀察到的結果,研究人員們又使用了帕金森病細胞模型進行分析。他們做了兩組實驗,一組只在細胞裡注射了α-突觸核蛋白,另一組還注射了接近於體內濃度的N蛋白。結果表明,後者導致的細胞死亡是前者的兩倍!
更誇張的是,在同時注射N蛋白後,不少α-突觸核蛋白的分佈出現了變化,且結構也有所延長,讓人懷疑這是不是澱粉樣沉積(尚無法確認)。
▲本研究發現新冠N蛋白可以與帕金森病典型病理蛋白α-突觸核蛋白結合(圖片來源:參考資料[2];Adapted from ACS Chemical Neuroscience 2021, DOI: 10.1021/acschemneuro.1c00666)
作者們指出,我們已知新冠的一大症狀在於讓人喪失嗅覺和味覺,而喪失嗅覺和味覺,恰恰是帕金森病的早期症狀。目前我們還不確定在細胞模型中觀察到的現象是否能在人類大腦神經元中重複。但倘若如此,就能解釋很多現象,並將新冠感染與帕金森病掛起鉤來。
參考資料:
[1] Slav A. Semerdzhiev et al., (2021), Interactions between SARS-CoV-2 N-Protein and α-Synuclein Accelerate Amyloid Formation, ACS Chem. Neurosci. DOI: https://doi.org/10.1021/acschemneuro.1c00666
[2] SARS-CoV-2 protein interacts with Parkinson’s protein, promotes amyloid formation, Retrieved December 14, 2021, from https://www.eurekalert.org/news-releases/937905
來源:學術經緯





 
			 
			 
			 
			 
			 
			 
			 
			 
			 
			 
			 
			 
			 
			 
			 
			 
			 
			