提示:本作較為硬核,為了防止讀不懂,您可以先閱讀筆者前日所作:《四維時空的形式》系列科普內容。(文章在筆者主頁可以找到)
今天文章的主角是:四維動量,四維速度,作用量
首先,筆者將反覆向大家強調下圖的意義,它的運動代表了四維時空這個整體。(不要把時空單一地想象為扭曲的空間,而是受質量影響的隨時間不斷變化的扭曲空間)
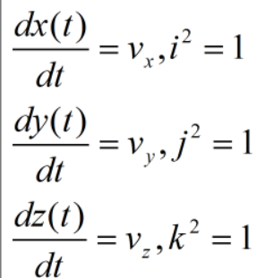
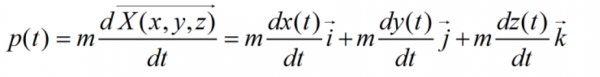
我們從動量講起:大家都知道,動量的表示式是:
![]()
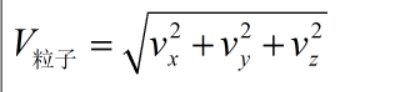
經典動量表達式,它既有大小又有三個方向,描述了三維空間xyz
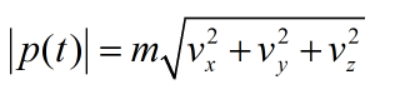
有時候我們會見到這個表示式,,實際上它只反映了動量的大小,而且這種表示式極為混亂和不嚴謹:
我們不管上面這個表示式,而是用下面這個:
p是有大小有方向的,對p加兩個豎槓,它就代表了模長,這下子只反應動量總的大小了
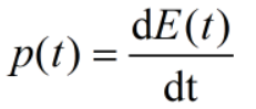
我們發現:
於是可以推出:
我知道你們都喜歡研究沒有方向的標量。,因為它不費腦子。其實我也一樣(笑)
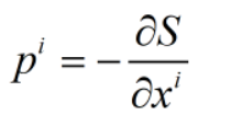
於是,做完了鋪墊工作,今天文章的第一個主角便閃亮登場了:
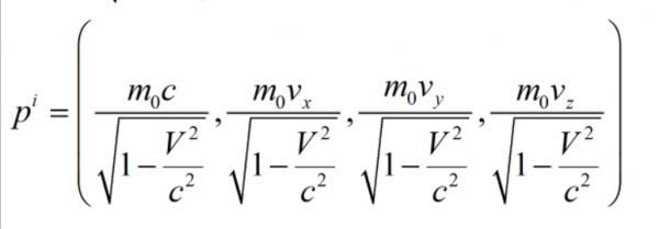
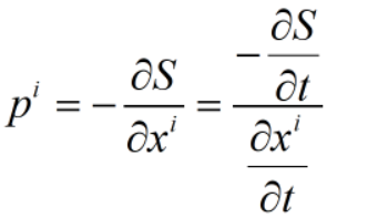
四維時空中動量的定義是:
你大叫道:我不能理解這是什麼!p加了一個上標i是什麼意思?x帶上角標i又是什麼?S又是什麼?為什麼要對它們求偏導?
如果你是老讀者,應該已經對這些符號耳熟能詳了,不過是新讀者也不要緊嗎,請先閱讀《四維時空的數學形式系列》吧
式中S是作用量,p^i表示四維時空中的動量,你並不需要馬上理解它,因為我馬上就要從等式右邊開始推導了,數學公式的強大之處正在於此(帶你領略奇妙的境地)
x^i表示逆變分量:它代表了四維時空,你可以把它暫時理解為“四維空間”,然而之後你必須拋棄這個想法。
注:
很多人誤以為“空間和時間組成了另一個空間”,而實際上上面只是描述了時間和空間的協同作用罷了。很多人把時空和四維空間混用,這兩者有相關性,但不能混用。
筆者感覺協變一詞是這樣由來的:標量時間t和向量空間xyz協同變化,可以用一個四維數學矩陣描述,但四維矩陣往往有方向,然而時間的標量性質並不能組成純數學的四維空間,所以叫偽歐幾何,偽就類似於 不完全是、假 的意思。當然,以上感慨只是筆者自己的主觀理解,如有錯誤還請指正)
我們繼續進行推導:
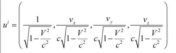
我們引入之前推出的四維速度公式:我們說任何速度,都要強調在哪個參考系中,不談參考系就談速度多少,都是耍流氓。
某粒子在參考系K下的速度
經過洛倫茲變換後,在參考系k′下的四維速度:它是無量綱的,也就是沒有單位的量(四維速度沒有單位,你是不是感到很奇怪呢?其實我也感到奇怪)
注意:時間速度分量是虛量。它是用來描述粒子自身時間變化的。當粒子的達到光速時,這個虛的速度將趨於無窮大,因此光子自身的時間將為0,虛速度並不是我們常規意義上的速度。
![]()
時間分量的速度是虛量,你既看不到它,也摸不到它,它實際不存在,只是一種數學模型
於是,我們有直觀的計算式:
即:
m0表式粒子的靜止質量,V是粒子在K參考系的速度,Vx,Vy,Vz,代表了各速度分量,而p^i表式新的參考系K′中的四維速度。
(整理文獻不易,喜歡就請點個關注吧,筆者寫作的極大動力來自諸君的支援)
