來源:藥智網/中華小吃
2019年FGFR高選擇性抑制劑獲批上市至今,有關FGFR抑制劑的開發極度火熱,尤其是其家族亞型FGFR4抑制劑,配以肝細胞癌的臨床指向,更是受到我國研究者的青睞。在全球FGFR4抑制劑最高階臨床II期的環境下,國內眾多藥企或是透過合作引進開發,或是經IND進入臨床,IP佈局已近於飽和,競爭環境日漸激烈,整體處於拼速度當中。
最高階II期的2個FGFR4抑制劑
當前FGFR4抑制劑的開發,最高階段為臨床II期,品種大約有2個,分別為諾華的Roblitinib和BlueprintMedicines公司的Fisogatinib。
圖1 FGFR4~II期臨床品種化學結構
Roblitinib早期的代號是FGF401,最早是在2015年即以化藥進口型別進行我國國內的IND申請,且獲批臨床,於國內開展適應症的試驗專業題目為“口服FGF401治療FGFR4和KLB表達陽性的成人肝細胞癌或實體惡性腫瘤患者的I/II期、多中心、開放性研究”,目的為“確定FGFR4與KLB表達陽性的HCC或其他實體瘤成人患者口服FGF401的最大耐受劑量(MTD)或推薦II期劑量(RP2D);以及估算FGF401在這些人群中的初步抗腫瘤活性。”
圖2 Roblitinib(CTR20160797)主要終點指標
Fisogatinib早期的代號是BLU-554,最早是在2018年即以化藥進口型別進行我國國內的IND申請,後於2019年再次申請國內IND,申請企業為基石藥業;國內共公示2項臨床試驗,試驗專業題目分別為“一項評估BLU-554在肝細胞癌患者中安全性、耐受性、藥代動力學、藥效學和初步療效的I期研究”和“一項BLU-554聯合CS1001在肝癌患者中安全性、耐受性、藥代動力學、抗腫瘤療效的I/II期研究”。
圖3 Fisogatinib(CTR20190180)主要終點指標
國內外I期臨床階段的品種
I期臨床品種則相對較多,分別為國外藥企H3Biomedicine的H3B-6527、Incyte的INCB-62079;國內藥企有諾誠健華的ICP-105、廣東眾生的ZSP-1241、浙江海正的HS-236、貝達藥業的BPI-43487、首藥控股的SY-4798、和譽生物的ABSK-011等。
H3Biomedicine是位於美國的腫瘤藥物開發公司,開發的靶點主要有ERα、FGFR4、SF3b、STING;最高階臨床II期(H3B-6545,乳腺癌);FGFR4抑制劑H3B-6527在公司的產品線中相對靠前。
圖4 H3Biomedicine主要產品管線
Incyte致力於新藥的發現與開發(主攻方向為腫瘤、炎症、自身免疫),代表品種為年銷28億美元的腫瘤藥物蘆可替尼;且在FGFR抑制劑開發方向上,已成功獲得上市品種Pemigatinib,為FGFR1-3抑制劑;而其對FGFR4抑制劑的開發,已有品種INCB-62079。
圖5 Incyte公司主要產品管線
國內FGFR4抑制劑的開發,如上所述,各大公司根據公司的發展階段不同,往往都不會對早期臨床階段的品種進行過多的資訊披露,故此將結合國內化合物專利申請進行共同分析。
國內FGFR4抑制劑專利申請統計
透過簡單查詢國知局SIPOP,對部分關鍵詞進行檢索,國內FGFR4抑制劑的專利申請最早可追溯到2014年,申請人為衛材公司;之後諾華、因賽特相繼申請專利進行保護,時間主要集中在2016年;再之後是國外的藍圖藥業。
國內的藥企開始大量申請FGFR4抑制劑相關化合物專利,涉及的藥企眾多,如成都融科博海、浙江海正藥業、江蘇豪森、上海瀚森、上海昂睿醫藥、杭州英創醫藥、石藥中奇、石藥歐意、廣東眾生藥業、上海和譽生物、武漢宇科源醫藥、南京聖和藥業、北京加科思、廣東先強藥業、首藥控股、溫州醫科大學、貝達藥業、上海醫藥、四川大學、保仕健生物、齊魯製藥、北京鑫開元醫藥、四川大學華西醫院等等。
綜合上述已申請IND的公司來看,初步可推斷出首藥控股、貝達藥業、和譽生物、廣東眾生、浙江海正已公開的化合物專利。
表1 國內部分重點FGFR4抑制劑化合物專利
重點化合物專利介紹
➢浙江海正藥業
浙江海正,FGFR4抑制劑的化合物專利最早的申請號為“CN201710003456.7”,申請日為2017年1月,共有25項權利要求,專利共70頁,其中權利要求15主要保護了14個具體的化合物。說明書中,除化合物的製備外,生物活性方面實施例主要是進行了酶FGFR1~4活性、肝癌細胞Huh7活性、人肝癌細胞Hep3B裸鼠移植瘤模型腫瘤體內生長抑制活性的測定。
圖6 CN201710003456.7保護的具體化合物結構
➢廣東眾生藥業
廣東眾生,FGFR4抑制劑化合物專利較早的申請時間為2017~2018年,綜合申請號“CN201780070537.7”和“CN201880071116.0”兩篇專利,其要保護的化合物主要有3個,如下圖所示。
圖7 CN201880071116.0保護的具體化合物結構
➢上海和譽生物
上海和譽生物,FGFR4抑制劑的化合物專利最早的申請號為“CN201780051138.6”,申請日期為2017年12月,共8項權利要求,33頁,具體保護的化合物近469個。
圖8 CN201780051138.6保護的馬庫士結構
➢首藥控股
首藥控股,FGFR4抑制劑的化合物專利最早的申請號為“CN201811145114.X”,申請時間為2018年09月,共10項權利要求,其中權利要求6主要保護了30個具體的化合物。生物活性方面實施例主要是進行了體外蛋白活性測定、細胞增殖活性測定。
圖9 CN201811145114.X保護的部分化合物結構
➢貝達藥業
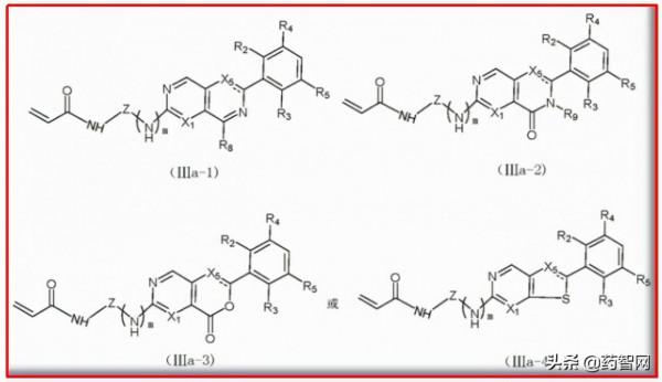
貝達藥業,FGFR4抑制劑的化合物專利最早的申請號為“CN201980061921.X”,申請時間2019年09月,馬庫什通式如下所示。
圖10 CN201980061921.X保護的化合物馬庫什通式
參考:
1.http://www.chinadrugtrials.org.cn/clinicaltrials.searchlistdetail.dhtml
2.https://www.h3biomedicine.com/science/#pipeline
3.https://www.incyte.com/what-we-do/pharmaceutical-portfolio
4.http://www.sipop.cn/module/gate/homePage.html
5.https://www.cde.org.cn/
6.https://db.yaozh.com/
責任編輯:聽白
宣告:本文觀點僅代表作者本人,不代表藥智網立場,歡迎在留言區交流補充;如需轉載,請務必註明文章作者和來源。













 
			 
			 
			 
			 
			 
			 
			 
			 
			 
			 
			 
			 
			 
			 
			 
			 
			 
			