我們自然界中的基本粒子遵從一些很漂亮的規則。所有相互作用都是由所謂的規範玻色子來傳遞的(如光子),而所有代表物質的基本粒子都是費米子(如電子、質子)。費米子又可以分為兩類:左手費米子和右手費米子。我們通常見到的費米子是左手費米子和右手費米子的一個混合,譬如電子就是左手電子和右手電子的混合。
一開始人們相信宇宙有完美的對稱性,我們相信左手費米子之間的相互作用和右手費米子之間的相互作用完全相同。然而,李政道和楊振寧把這個宇宙有完美對稱的鐵律拉下了神壇。根據當時實驗所顯示的一些蛛絲馬跡,他們提出在弱相互作用中,左右不對稱(宇稱不守恆)的觀點。這一觀念深深地影響了理論物理學家的思路。結果大家發現,我們宇宙中幾乎所有的全域性對稱都破缺了。而我們通常所說的對稱(如電荷守恆)都是不應該被叫作對稱的規範對稱。今這篇文章詳細地介紹了這一重要的歷史事件以及背後的科學分析。我們發現不僅左手、右手費米子有不同的弱相互作用,而且這一不同還取最大值。也就是說,只有右手費米子參加弱相互作用,而左手費米子完全不參加弱相互作用——宇宙之美以另外一種意想不到的方式呈現出來。
本文也提到了描寫左右不對稱的費米子理論(如描寫基本粒子的標準模型)通常是根據微擾展開來定義的。令人沮喪的是,這些微擾展開都是不收斂的。也就是說,這一類理論是不自洽的。所以左右不對稱的費米子理論是理論物理中的一個重大挑戰。有趣的是,最近在凝聚態物理中關於拓撲物態的研究進展,解決了這一所謂的手徵費米子問題。
——文小剛
撰文 | 黃濤(中國科學院高能物理研究所)
應《現代物理知識》邀請撰寫李政道與量子場論一文祝賀李政道先生九十五華誕。
1979 年4 月和1981 年12 月李政道先生利用假期回國在中國科學院研究生院開設每天三小時的“粒子物理與場論”和“統計力學”課程,全國各高等院校和研究所近千名師生赴京聽課,極為有助於國內恢復教學和科學研究工作。李先生在“粒子物理與場論”講課中系統講授了量子場論基礎和最新進展,1981 年李先生在講稿基礎上出版了Particle Physics and Introduction to Field Theory 英文版 (1984 年譯為中文版《粒子物理與場論簡引》分為上、下兩冊)。此書很有特色,也包括了李政道對量子場論發展貢獻的內容。
量子場論是在量子力學和相對論基礎上發展起來的描述高速微觀粒子現象和規律的理論,它成為描述粒子物理學各種物理現象和規律的有力工具。歷史上粒子物理學發展大致經歷了三個階段。第一階段 (1897~1937) 基本粒子概念形成。1897 年發現電子開啟了粒子物理學新時代,20 世紀30 年代逐漸地認識到物質結構的最小基本成分是電子、質子、中子和光子等基本粒子。量子力學成為原子物理和原子核物理的基本規律。面對高速微觀粒子運動新現象,如原子中光的自發輻射和吸收以及電子和光子的各種物理過程相互轉化,產生和湮滅現象,1927 年狄拉克提出將電磁場作為一個具有無窮維自由度的系統進行量子化的方案。同時開啟了對高速微觀粒子運動規律的探討,1929 年海森堡和泡利在相對論和量子力學的基礎上,建立了量子場論的普遍形式,每種微觀粒子對應著一種經典場,量子場的激發代表粒子的產生,量子場激發的消失代表粒子的湮滅,這樣建立的相互作用量子場論可描述原子中光的自發輻射和吸收以及電子和光子的各種電磁相互作用現象。第二階段 (1937~1964) 基本粒子大發現時期。1937 年在宇宙線中發現μ 子開始了粒子物理學蓬勃發展時期,這就促使人們將量子場的概念推廣應用到自然界所有粒子場以及它們所參與的相互作用物理過程,特別是1949 年量子電動力學成為電磁相互作用的基本理論。自然界中除了電磁相互作用還存在兩種相互作用——強相互作用和弱相互作用,量子場論對於這兩種相互作用的探討尚處於唯象的有效理論階段。第三階段 (1964 至今) 1964 年以夸克模型為標誌,人類認識物質結構深入到夸克和輕子新層次,相應地20 世紀60~70 年代量子場論發展為粒子物理標準模型理論,它成為這一層次電磁相互作用、弱相互作用和強相互作用的基本理論。夸克和輕子所遵從的標準模型理論由兩部分組成:電磁相互作用和弱相互作用統一理論以及量子色動力學 (強相互作用基本理論)。標準模型理論出色地描述了由夸克和輕子演變而產生的各種實驗現象,經受了50年的實驗檢驗。
本文僅就李政道對量子場論的貢獻談談自己的見解。
1
發現宇稱不守恆對量子場論發展的深遠影響
首先簡單介紹一下認識弱相互作用規律發展過程。弱相互作用過程最早是在原子核中的β衰變現象發現的,是短力程的相互作用。20 世紀初,人們已經觀測到許多放射性核素都會發射出電子,並將這種方式發射出來的電子命名為β粒子,相應的過程稱為原子核β衰變。
1914 年,查德威克發現在β衰變中放射出來的電子不具有確定的能量值,這意味著電子丟失能量,丟失的能量到哪裡去了,表明在β衰變中存在“能量危機”。經過多次測量衰變的電子的能量發現它在一定的範圍內有一個能譜分佈,這個分佈的最大值正等同於衰變後的原子核的能量。因此核物理學家面臨是否應放棄自然界能量守恆定律的疑難。當時,對於這一疑難科學家們有兩種態度:一是放棄能量守恆定律,另一種是相信能量守恆定律。1930 年12 月4 日泡利給當時正在德國圖賓根參加放射性會議的科學家們寫了一封信,信中提出了他的猜想:β衰變中能量可能被一種看不見的中微子帶走了,從而挽救了能量守恆的危機。1931 年6 月泡利在美國加州召開的美國物理學學會上公開表達了他的建議,在原子核β衰變中能量還是守恆的,只不過放射出來的除了電子還伴隨有一個觀測不到的粒子,它不帶電荷,中性,質量很微小,很難與別的物質發生作用,卻帶走了部分能量。只要假定中微子存在,一切對自然界能量守恆定律的疑難迎刃而解。那時,泡利將這種粒子命名為“Neutron (中子) ”。1932 年真正的中子被發現後,費米將泡利的“中子”正名為“Neutrino (中微子) ”。1934 年費米提出了四費米子相互作用理論,即原子核的β衰變過程的終態是衰變後的原子核加電子再加中微子,其基本過程為原子核內中子衰變為質子加電子再加中微子,即
β衰變弱相互作用過程 (圖2) ,奠定了弱相互作用理論的基礎。弱相互作用過程中四個費米子分為兩組,不參與強相互作用的輕子,如電子和中微子為一組,參與強相互作用的強子,如質子和中子為一組。正像二階電磁相互作用中四個費米子耦合一樣,因為弱相互作用僅發生在原子核大小範圍內,它與電磁相互作用不同,是短程力,因此所有過程都是由兩兩一組的四個費米子取在同一點上直接耦合形成。
圖1 費米
圖2 原子核中β衰變基本過程
李政道1946 年進入芝加哥大學師從著名物理學大師費米教授。那時正值弱相互作用理論建立和發展時期,在費米的指導下很快進入利用四費米子相互作用研究弱相互作用物理過程。1949 年,李政道是博士生時,他與羅森布魯斯和楊振寧發表了關於弱相互作用一篇不到一頁紙的短文。這篇論文的歷史意義在於它首先指出三種不同的弱相互作用過程的耦合常數相近以及弱相互作用很可能是由一種壽命非常短質量很大的粒子作為媒介。正是這兩創新點成為18 年後建立弱相互作用基本理論的開端。
1956 年,實驗上發現了兩種強子命名為“θ”和“τ”,它們分別經弱相互作用衰變為兩個π介子和三個π介子,但它們的質量和壽命在實驗誤差範圍內相等,若把它們當成同一種粒子就有宇稱不守恆的問題,這便是當時引人注意的“θ-τ疑難”。李政道和楊振寧 (圖3(a) (b)) 發表論文“Question of ParityConservation in weak Interaction”打破傳統宇稱守恆觀念提出在弱相互作用過程中宇稱不守恆,1957年,吳健雄 (圖3(c)) 等用鈷核衰變實驗證明了宇稱在弱相互作用中確實不守恆。吳健雄的實驗結果是推翻宇稱守恆定律決定性實驗,李政道和楊振寧獲得了1957年的諾貝爾物理獎。
圖3 (a)李政道(b)楊振寧(c)吳健雄
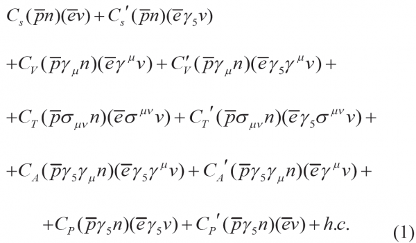
這一成就對量子場論中建立弱相互作用理論的發展有重大影響。以描述β衰變的四費米子弱相互作用理論為例,比較普遍的四費米子拉氏函式應包括所有可能的雙線性型協變數
構成的Lorentz不變數,
其中h.c. 代表以前各項的厄米共軛,
這裡包括了旋量空間中16 個獨立基矩陣構造的雙線性型協變數
,通常稱它們為S,V,T,A,P 五種相互作用形式。如果要求弱相互作用用拉氏函式式在空間反射下不變,那麼
李、楊、吳在弱相互作用中宇稱不守恆的理論和實驗使得形式(1)是四費米子弱相互作用的最普遍形式。故而人們嘗試以(1)式的普遍表述或實驗分析所有的β衰變現象以確定這十個參量。
1957 年李政道和楊振寧發表了中微子二分量理論。β衰變中輕子極化行為實驗確認了中微子二分量特性,這一特性直接導致四個費米子發生相互作用為V-A型流-流耦合的普適理論。1958 年,Feynman,Gell-Mann, Marshak 和Sundarshan的分析表明,S,V 相互作用的貢獻相當於原子核發生β衰變時是費米選擇定則的情況,其核子自旋在衰變過程中不改變;T,A 相互作用的貢獻相當於原子核發生β衰變時滿足Gamow-Teller 選擇定則的情況,其核子自旋在衰變過程中改變。P型相互作用的貢獻可忽略。對於大多數進行β衰變的原子核,或者遵從Fermi 選擇規則,或者遵從Gamow-Teller 選擇規則。這就是說S型和V型不可能同時不等於零;T 型和A型也不可能同時不等於零,將由實驗來確定。
實驗表明:
ⅰ)電子衰變能譜:要求S型和V型中必須有一個為零,T型和A型中也必須有一個為零
ⅱ)角關聯實驗:要求S型和T型為零
一系列的實驗事實與理論計算相一致證實了普適的弱相互作用理論:任何四個費米子 (輕子或強子) 的弱相互作用都可以用V-A型形式描述,只要滿足輕子數守恆、重子數守恆、電荷守恆,以及ΔQ= ΔS等規則。通常也稱這種型別的四個費米子直接發生相互作用為V-A型流-流耦合理論,適用於所有的弱作用過程,被稱為普適費米型弱相互作用理論。這一有效理論是9年後建立弱電統一理論的基礎。
前面提到1949 年,李政道與羅森布魯斯和楊振寧發表的一篇短文中就注意到中子的β衰變和μ子俘獲或衰變過程中弱相互作用耦合常數近似相等,由此事實猜想這些弱作用過程中四個費米子 的弱相互作用過程可能是由同一個重的中間玻色子傳播引起的。1960 年他在歐洲核子研究中心 (CERN) 稱此重的中間玻色子為W (取weak 的第一個字母) 中間玻色子。正如量子電動力學中電磁相互作用包含了兩個電子或正電子(費米)場和一個媒介光子 (玻色) 場,通常稱為Yukawa型相互作用 (圖4)。電磁相互作用是長程力相應傳遞相互作用的媒介光子質量為零。
e → e + γ
圖4 Yukawa型相互作用e →e +γ
弱相互作用的四個費米子相互作用可以設想兩組流之間透過自旋為1 的媒介中間玻色子W傳遞 (圖5),W是向量型大質量媒介玻色子,非常類似於光子。也是一種為某種Yukawa 型相互作用,前面所述的β衰變基本過程,
可以看作是由發射或吸收一個有質量的帶電中間玻色子W引起的,
圖5 Yukawa型相互作用n →p +W
為尋找中間玻色子W提供了有效的質量範圍。
1967年溫伯格和薩拉姆將電磁相互作用和弱相互作用統一在一起的模型引入中間玻色子W和Z,作為傳播弱相互作用的媒介子並準確地預言了它們的質量。1983 年,歐洲核子研究中心 (CERN) 發現了中間玻色子W和Z,其質量驚人地與電磁相互作用和弱相互作用統一理論預言一致。
2021 年是發現宇稱不守恆規律65 週年,恰逢李先生95 華誕,共慶物理學歷史上這一重大成就更具有重要意義。記得1985 年中有一天,周光召副院長讓我到三里河院部他的辦公室談及1986 年是李先生和楊先生髮現宇稱不守恆規律30 週年,請我收集相關資料並與世界圖書出版社社長潘國駒聯絡。我接到任務後與李先生和楊先生分別聯絡並很快收到兩位大師寄來的資料。由於技術上的原因,我們僅將二位在諾貝爾授獎時的講演譯成中文以特刊形式刊登在1986 年第三期《高能物理》(《現代物理知識》的前身)雜誌,周光召特撰文“紀念弱作用宇稱不守恆規律發現卅年”刊登在首頁。為此,我也有機會回顧這一重大發現在粒子物理發展史上產生的深遠影響。事實表明歷史上這一發現對認識弱相互作用規律極為重要,它不僅直接導致了1958 年普適V-A弱相互作用理論的建立,而且對10 年後弱相互作用和電磁相互作用統一理論的誕生起了引領作用。
2
物理系統的對稱性,對稱性破缺和恢復
對稱性和守恆律是物理學,特別是量子場論中一個非常重要的概念。對稱性存在於自然界許多客觀物體的幾何形狀之中,例如物體和鏡中的像有映象對稱性,一個球形物體對它的軸有轉動對稱性,對稱性也存在於周圍物體和各種建築圖案等。對稱性和對稱性破缺是物理系統很重要的性質,而且一個物理系統在一種對稱變換下保持不變,必將對應著一種守恆量。又如相應於宏觀物體的映象對稱性有微觀粒子的空間座標反射對稱性,還有時間座標反演對稱性,空間轉動對稱性等。物理系統的對稱性是和物理量的守恆律緊密相關的。例如時間-空間的各向同性意味著物理系統在時間-空間平移變換和轉動變換下是不變的,這相應於能量-動量守恆律和角動量守恆律,其守恆量是能量、動量、角動量。與空間座標反射對稱性相關的是宇稱守恆律,其守恆量是宇稱 (以P 標記)。隨後不久,宇稱不守恆在其他的弱作用過程的實驗中也得到了證實。這就打破了人們在歷史上一貫認為的運動中對稱性守恆是基本規律的傳統觀念。
自從1956 年李政道和楊振寧提出宇稱 (左、右) 對稱性在弱相互作用下破壞,即宇稱不守恆規律,人們逐漸認識到對稱性和對稱性破缺是自然界中的基本規律。在微觀物理研究領域,每個粒子都存在著一個反粒子,例如電子的反粒子是正電子,質子的反粒子是反質子。粒子與反粒子的質量相同但守恆量子數相反,兩者相遇會發生劇烈的湮滅反應生成光量子。正、反粒子間電荷共軛對稱性,與此對稱性相關的是電荷共軛守恆量 (以C標記)。與時間反演對稱性相關的守恆量是時間反演宇稱 (以T標記)。1964 年Cronin 和Fitch 實驗上首先從K介子系統中又發現弱相互作用過程中宇稱(P)和電荷共軛 (C) 的聯合 (CP) 也是對稱性破缺的。他們由於此發現獲得1980 年諾貝爾物理學獎。由物理學普遍原理知微觀世界遵從空間反射、時間反演、電荷共軛三者聯合變換下是不變的,即所謂的CPT 定理。那麼,自然界中電荷共軛、空間反射和時間反演聯合對稱性 (CPT) 是守恆的,CP不守恆就意味著時間反演 (T) 不守恆。
對稱性破缺又分為明顯破缺和自發破缺,對稱性破缺明顯地包含在相互作用中,人們稱為對稱性明顯破缺。1960 年南部首先認識到還有一種對稱性自發破缺,對稱性在相互作用中明顯地保持,在某種相互作用形式下真空態可能不是唯一的,存在多個最低能量態,物理上稱為簡併真空態,此時可能發生真空對稱性自發破缺,即物理真空只選取了多個簡併真空的一個態。
舉個例子說明對稱性自發破缺,在一個圓盤中心有一支鉛筆不停地轉動,鉛筆對圓盤的任一方向都是對稱的,然而不穩定轉動著的鉛筆一定會倒下,當鉛筆停止轉動倒在一個方向時從而選擇了一個最低能態不再具有各個方向對稱狀態 (圖6)。或者說對稱性存在於鉛筆倒下之前,鉛筆倒下之後對稱性發生了自發破缺。在微觀世界情況要比這個例子複雜得多,在此不做更多解釋。弱、電統一模型中引入自發對稱性破缺之後,三個傳遞弱相互作用的中間玻色子會獲得質量並準確預言了它們質量值的大小。
圖6 (a)圖為一支鉛筆不停地轉動在圓盤中心,(b)圖為鉛筆停止轉動倒在一個方向
1974 年李政道和G. C. Wick研究了CP自發破缺的問題和自發破缺的真空是否可能在一定條件下恢復破缺對稱性,他們發現,重離子碰撞中,在原子核大小的尺度上可以區域性恢復對稱性,而且造成可觀測效果,提出了“反常核態”概念,深化了人們對真空的認識。預言透過高能核-核碰撞能改變真空的性質,有可能在一定的空間區域內形成高溫高密系統,使能量密度達到產生夸克解禁閉的閾值,從而形成一種新的物質形態——夸克膠子等離子體 (QGP)。這一預言極大地推動了重離子碰撞理論和實驗的發展,使其成為物理學的一個主流研究方向。20 世紀70 年代初,李政道多次回國訪問和講學,記得有一次,那是在中關村原子能研究所大樓(圖7)三樓階梯教室聽李先生的學術報告,當時他介紹了他和Wick 關於自然界破缺對稱性透過標量場的非零真空平均值恢復的機制。李先生的講解和回答問題至今仍在我的腦海中,特別是他對物理的精通和詮釋給我留下了深刻的印象,當時身處與世界科學隔絕的年輕科研人員親身感受到世界級物理大師的風采。
圖7 當年的中關村原子能研究所大樓(已拆遷)
在李政道的大力推動下,自20 世紀70 年代末以來,相對論重離子碰撞的理論和實驗研究成為粒子物理中最重要的研究領域。並促成了美國布魯克海文國家實驗室建造了相對論重離子對撞 (RHIC),開闢了相對論重離子碰撞的理論和實驗研究領域。為了給在北京召開的“相對論性重離子碰撞”國際學術研討會設計海報,1986 年李政道特別會見了中國著名的水墨畫畫家李可染,為他解釋了這次研討會的內容、目的和意義。李可染大師為科學所感動,特別地為“相對論性重離子碰撞”國際學術研討會創作了主題畫《核子重如牛,對撞生新態》(圖8)。
圖8 李可染主題畫《核子重如牛對撞生新態》
2000 年相對論重離子對撞機 (RHIC) 在BNL的建成執行,至今已經積累了大量實驗資料。透過對這些實驗資料的分析和計算表明:在RHIC 的Au+Au對心碰撞實驗中已經產生了一種非常粘稠的不能用強子自由度來描述的部分子物質,而這種部分子極有可能是一種強耦合的夸克膠子等離子體(sQGP)。目前已經在CERN執行的大型強子對撞機 (LHC) 將產生壽命更長的QGP物質,這為尋找QGP及研究這種新的物質形態提供了前所未有的機會。
3
量子場論中非微擾理論
1946~1949 年Tomonaga、Schwinger 和Feynman發展了一套微擾論計算和重整化方法,奠定了量子電動力學基礎。這種微擾論方法具有形式簡單、便於計算且明顯保持相對論協變性的優點。特別是,Feynman 引入了直觀圖形表示法 (稱為費曼圖規則) 和相應的物理影象,提供了寫出微擾論任意階項的系統的方法。然而人們發現在應用量子電動力學計算任何物理過程時,儘管微擾論最低階近似的計算結果和實驗是近似符合的,但進一步計算單圈和高階修正時卻都得到無窮大的結果。同樣的問題也存在於其他的相對論性量子場論中,這就是量子場論中著名的發散困難。這種高階修正無窮大使得微擾展開變得無意義,人們對這個理論中的發散困難做了深入的分析,如何從中抽出有限修正的物理結果使得微擾展開的每一階計算是可操作和具有精確的理論預言值,這就是重整化理論。它不但解決了量子電動力學中出現的發散困難,重新定義物理電荷和質量等物理量以得到有限的高階修正等,使量子電動力學的計算有了簡單可靠的、具有相對論協變性質的基礎。1947
為了尋找量子場論的非微擾理論解,早在1954年,李政道提出一個可解量子場論模型,稱為李模型,這項工作對以後的場論和重整化研究產生了很大的影響。1964 年與諾恩伯格合作,研究了無 (靜止) 質量的粒子所參與的過程中,紅外發散可以全部抵消問題,這項工作與T. Kinoshita的文章合稱為“KLN定理”。這是目前強相互作用實驗中不可缺少的定理,也是用高能噴注去發現夸克和膠子的理論基礎。1976 年,又發現和研究了非拓撲性孤立子,建立了強子結構的孤立子袋模型理論,具有經典意義。1986 年詳細研究了孤子星的特有性質,孤子星是非拓撲孤子和廣義相對論結合的產物,認為是暗物質、類星體等的理論模型之一。
格點規範理論是量子場論中非微擾理論的一個重要進展,它的出發點是:用定義於有限點陣上的有定域對稱性的系統逼近連續時空中的規範場,利用電子計算機作蒙特卡洛模擬計算。格點提供了量子場論在小距離處的一種正規化。雖然這不再是一個無窮維自由度的系統,只要格點的數目足夠多,仍是一種合理的近似。李政道和R. Friedberg用隨機格點的方法研究量子場論的非微擾效應,並建立離散時空上的力學,理論上受到廣泛重視。
1986 年10 月李先生在北京創立了中國高等科學技術中心 (簡稱CCAST) 並擔任主任。中心設立學術顧問委員會,每年開兩次會,建議和討論下一年度舉辦的國際、國內研討會的題目。每年李先生親自主持會議並報告他的最新研究成果以及國際最新動態。例如,在路徑積分問題、格點規範問題和時間為動力學變數和中微子振盪等方面開展工作。進入2l 世紀,仍在挑戰物理學中的疑難問題,為研究簡併的物理真空,求解薛定諤方程式,探討暗物質的本質,中微子質量本徵態的轉換矩陣和非微擾問題等方面做了一系列工作。
以上從我個人認識上寫了李政道先生對量子場論的重要貢獻,由於水平有限不能深刻理解李先生的貢獻。實際上李先生對物理學的貢獻不僅限於高能物理,他在統計物理、核物理、天體物理、廣義相對論和凝聚態物理都做出了重要貢獻。正如曾任美國物理學會主席的S. Drell 教授指出:“綜觀物理學的各個不同領域,很難找到一處沒有留下李政道的足跡,他犀利的物理直觀和高超的解答難題的能力,為物理學的發展做出了持久而明確的貢獻。”我記得李先生曾在會上講解他十分喜歡杜甫的詩句:“細推物理須行樂,何用浮名絆此身。”圖9是他講解時手書的詩句並註明了出處。
圖9 李政道題杜甫詩句
我非常榮幸認識李先生40 多年,曾經在20 世紀90 年代接觸更多,有時一年能有幸多次見到李先生,聆聽物理學大師的報告和見解。圖10 是90 年代初訪問哥倫比亞大學在李先生辦公室的合影。
圖10 黃濤與李政道合影
衷心祝願李先生健康長壽,對物理學和祖國科學事業發展做出新的貢獻。
本文經授權轉載自微信公眾號“現代物理知識雜誌”,選自《現代物理知識》2021年第5/6期,編輯:YWA
