引用本文: 趙俊暕, 王洪巖, 趙永波, 等. 急性主動脈夾層患者入院時血糖水平與其院內死亡的相關性研究 [J] . 中國全科醫學, 2022, 25(2) : 166-170. DOI: 10.12114/j.issn.1007-9572.2021.01.113.
急性主動脈夾層(acute aortic dissection,AAD)是威脅患者生命的急危重症,死亡率高,在臨床干預前,AAD患者的死亡風險每小時增加1%[1],及時手術治療仍是目前降低其病死率的唯一途徑。儘管診斷和外科治療有了很大程度的提高,但是AAD患者的院內死亡率仍然保持在30%以上[2]。因此,對AAD患者入院時死亡風險因素進行分析,有利於判斷和預測患者的不良預後,進而提高患者生存率。高血糖常見於急症患者,其中應激性高血糖一直被認為是影響危重患者死亡的不良因素[3]。目前國內外相關入院時高血糖水平與不同心血管疾病(急性冠脈綜合徵、急性心肌梗死和急性心力衰竭)患者的院內死亡率的相關性研究已有報道[4,5,6,7],但是有關入院時血糖水平與AAD患者院內死亡關係的研究鮮有報道[8]。因此,本研究回顧性分析了AAD患者入院時血糖水平與其院內死亡的相關性,以期為臨床提供指導。
1 物件與方法
1.1 研究物件
選取2015年1月至2020年8月在河北醫科大學第四醫院接受手術治療的非糖尿病AAD患者為研究物件。納入標準:(1)年齡18~80歲;(2)經CT血管造影(CTA)、磁共振血管成像(MRI)或外科手術確診為AAD;(3)發病到手術時間<14 d。排除標準:(1)患有糖尿病;(2)創傷性夾層;(3)患有以下任一疾病:免疫系統疾病、慢性腎衰竭、終末期肝病、結締組織疾病、感染性疾病及惡性腫瘤;(4)妊娠。本研究經河北醫科大學第四醫院倫理委員會批准(批號:19013)。
1.2 研究方法
1.2.1 臨床資料收集
透過醫院病歷系統進行資料錄入,包括性別、年齡、既往病史(高血壓、冠心病)、吸菸情況、飲酒情況、入院時生命體徵(收縮壓、舒張壓、心率)、入院時實驗室檢測結果〔丙氨酸氨基轉移酶(ALT)、天冬氨酸氨基轉移酶(AST)、肌酐、尿素氮、尿酸、血糖、白細胞計數、中性粒細胞計數、淋巴細胞計數〕、Stanford分型、住院時長及院內死亡情況。
1.2.2 術後住院結果
AAD住院患者的結果從病歷中收集,觀察終點定為住院期間全因死亡或術後30 d無終點事件發生。
1.2.3 定義及分組
糖尿病患者定義為有糖尿病史或在住院期間經實驗室檢查符合《中國2型糖尿病防治指南(2017年版)》[9]診斷標準。根據入院時血糖水平進行分組,血糖>7.8 mmol/L為高血糖組,≤7.8 mmol/L為正常血糖組[10]。
1.3 統計學方法
採用SPSS 25.0軟體進行統計學分析。計數資料以相對數表示,組間比較採用χ2檢驗。符合正態分佈的計量資料以(
±s)表示,兩組間比較採用t檢驗;非正態分佈的計量資料以M(P25,P75)表示,組間比較採用Kruskal-Wallis H檢驗。採用Cox迴歸模型分析AAD患者入院時血糖水平與院內死亡率的關係,構建3個模型:未調整模型;適度調整模型,對年齡、性別進行調整;完全調整模型,對年齡、性別、高血壓、冠心病、吸菸、Stanford分型、收縮壓及舒張壓進行調整。採用Kaplan-Meier方法和Log-Rank檢驗進行生存曲線分析。繪製受試者工作特徵曲線(ROC曲線)分析入院時血糖水平對AAD患者院內死亡的預測價值。採用Cox風險比例迴歸模型分析AAD患者院內死亡的影響因素。以P<0.05為差異有統計學意義。
2 結果2.1 AAD患者臨床資料比較
收集AAD患者共575例,其中糖尿病(14例)、創傷性夾層(9例)、妊娠所致夾層(6例)、馬凡綜合徵(6例)、臨床資料嚴重缺失(9例)及未進行手術治療(40例)患者均被排除,最終納入491例AAD患者。其中正常血糖組326例,高血糖組165例。高血糖組高血壓比例、冠心病比例、ALT水平、AST水平、肌酐水平、尿素氮水平、尿酸水平、白細胞計數、中性粒細胞計數及院內死亡率均高於正常血糖組,吸菸比例、淋巴細胞計數均低於正常血糖組,差異均有統計學意義(P<0.05);兩組性別、年齡、飲酒比例、收縮壓、舒張壓、心率、Stanford A型比例、住院時長比較,差異均無統計學意義(P>0.05)。見表1。
表1 AAD患者臨床資料比較
Table 1 Comparison of clinical data of AAD patients
2.2 AAD患者入院時血糖水平與術後院內死亡的關係
在未調整模型中,高血糖組院內死亡風險是正常血糖組1.943倍;適度調整模型後,高血糖組院內死亡風險是正常血糖組1.900倍;完全調整模型後,高血糖組院內死亡風險是正常血糖組1.840倍。見表2。以連續性變數納入完全調整模型後,血糖水平是院內死亡的影響因素〔HR=1.055,95%CI(1.005,1.108),P=0.031〕。採用Kaplan-Meier繪製不同血糖水平AAD患者的生存曲線,結果顯示,高血糖組AAD患者術後30 d的生存率低於正常血糖組(χ2=2.73,P=0.045),見圖1。
圖1 不同血糖水平AAD患者的生存曲線分析
Figure 1 Survival curve analysis of AAD patients with various blood glucose levels
表2 AAD患者入院時血糖水平與院內死亡風險的Cox迴歸模型分析
Table 2 Cox regression model analysis of admission blood glucose and risk of in-hospital mortality in AAD patients
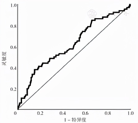
2.3 入院時血糖水平對AAD患者院內死亡的預測價值
繪製ROC曲線,ROC曲線下面積為0.621(0.546,0.696),血糖水平截斷值為9.4 mmol/L,靈敏度為37.9%,特異度為84.9%,見圖2。
圖2 入院時血糖水平預測AAD患者院內死亡的ROC曲線
Figure 2 ROC curve of admission blood glucose predicting in-hospital death in AAD patients
2.4 AAD患者院內死亡影響因素的Cox風險比例迴歸模型分析
以是否死亡(賦值:死亡=0,存活=1)為因變數,以性別(賦值:男=0,女=1)、年齡(賦值:實測值)、高血壓(賦值:無=0,有=1)、冠心病(賦值:無=0,有=1)、吸菸(賦值:無=0,有=1)、飲酒(賦值:無=0,有=1)、收縮壓(賦值:實測值)、舒張壓(賦值:實測值)、心率(賦值:實測值)、Stanford分型(賦值:Stanford A型=0,Stanford B型=1)、ALT(賦值:實測值)、AST(賦值:實測值)、肌酐(賦值:實測值)、血糖(賦值:實測值)、尿素氮(賦值:實測值)、尿酸(賦值:實測值)、白細胞計數(賦值:實測值)、中性粒細胞計數(賦值:實測值)、淋巴細胞計數(賦值:實測值)為自變數,進行單因素Cox風險比例迴歸模型分析,結果顯示,收縮壓、舒張壓、Stanford A型、肌酐、血糖及尿酸與AAD患者院內死亡可能相關(P<0.05),見表3。以單因素分析差異有統計學意義的變數為自變數,進行多因素Cox(Forward LR)風險比例迴歸模型分析,結果顯示,Stanford A型〔HR=4.277,95%CI(1.942,9.420),P<0.001〕和血糖〔HR=1.864,95%CI(1.617,2.113),P=0.007〕為AAD患者院內死亡的影響因素。
表3 AAD患者院內死亡的單因素Cox迴歸模型分析
Table 3 UnivariateCox regression model analysis for in-hospital mortality in AAS patients
3 討論
本研究評估了非糖尿病AAD患者入院時血糖水平與院內死亡的關係。結果顯示,入院高血糖組AAD患者院內死亡率高於正常血糖組;透過不同模型調整混雜因素髮現,高血糖組院內死亡風險是正常血糖組的1.840倍;經Cox風險比例迴歸模型分析,Stanford A型和血糖是AAD患者院內死亡的影響因素。
高血糖被認為是身體和心理壓力反應的一部分,是由於皮質醇、胰高血糖素、生長激素和細胞因子等逆向調節激素間的複雜相互作用而導致的肝臟葡萄糖生成過多和胰島素抵抗[11]。在應激狀態下,大量的兒茶酚胺、生長因子、皮質醇和細胞因子釋放,促進肝糖異生和胰島素抵抗,進而導致血糖升高[12,13],高血糖本身也會加劇細胞因子、炎症和氧化應激反應[14],這可能解釋了高血糖水平與不良預後之間的關係。由於嚴重的疾病狀態可能會導致應激激素分泌增加,危重患者的高血糖可能與更嚴重的疾病有關,本研究結論與之一致,即非糖尿病AAD患者入院時血糖水平升高則院內死亡率也相應增加(19.4% vs 10.4%,P=0.006)。
疾病患者入院時的實驗室指標能夠預測其院內死亡風險[13],此前已經有研究報道了AAD患者入院的實驗室檢查指標如尿酸[15]、肌酐[16]、血清Tenascin-C[17]及D-二聚體[18]與院內死亡率之間的關係,而目前關於入院時血糖水平與AAD的研究報道較少。ZHANG等[8]僅報道了空腹血糖(β=0.176,P=0.037)是AAD發生的影響因素。本研究結果證實了入院時血糖是AAD患者院內死亡的影響因素〔HR=1.864,95%CI(1.617,2.113),P=0.007〕。BUTURLIN等[6]研究證實了急性冠脈綜合徵患者入院時血糖水平140 mg/dl作為可接受範圍的臨界值,在急診的非糖尿病患者入院時血糖大於該臨界值,其一年內死亡率上升6.1%。而有關行心臟手術的非糖尿病患者圍術期高血糖水平與短期死亡率的研究報道顯示,與正常血糖組患者比較,高血糖組患者30 d院內死亡率增加3.4倍[10]。而本研究結果表明,高血糖組AAD患者院內死亡率為19.4%,且其死亡風險是正常血糖組的1.84倍,提示入院時高血糖水平增加AAD患者院內死亡風險,因此有必要進一步探討控制血糖對AAD患者院內死亡率以及長期死亡率或其他心血管事件發生率的影響。儘管本研究利用ROC曲線預測AAD患者院內死亡,但效果不佳,考慮可透過收集多中心資料,增加樣本量後再次進行驗證。
本研究還存在一定侷限性:(1)本研究為回顧性研究,收集的資料來源於單中心,可能會產生偏移;(2)本研究只進行了短時間的預後觀察,對入院時血糖水平與長期預後的關係未進行分析;(3)由於患者情況不同並在不同時間採取不同的血糖檢測方法,使得糖代謝異常指標不統一,因此不能分析AAD患者住院期間其他糖代謝指標(如空腹血糖、糖耐量試驗和糖化血紅蛋白等)對院內死亡率的影響;(4)本研究未評估圍術期的血糖控制情況,有研究報道手術期嚴格控制血糖可以降低行心臟手術的非糖尿病患者不良預後的發生率[19]。下一步,課題組需要採集多中心資料進行更全面、深入的研究,並探討不同糖代謝指標對AAD患者院內死亡的預測價值。
綜上所述,本研究顯示入院時血糖水平與非糖尿病AAD患者短期預後存在關係,入院高血糖會增加非糖尿病AAD患者院內死亡風險。因此在檢測出AAD患者出現入院高血糖時應該給予重視。
利益衝突
本文無利益衝突。
參考文獻 略
