1.提取公因式
這個方法實際上是運用了乘法分配律,將相同因數提取出來,考試中往往剩下的項相加減,會出現一個整數。
注意相同因數的提取。
例如:
0.92×1.41+0.92×8.59
=0.92×(1.41+8.59)
2.借來借去法
看到名字,就知道這個方法的含義。用此方法時,需要注意觀察,發現規律。還要注意還哦 ,有借有還,再借不難。
考試中,看到有類似998、999或者1.98等接近一個非常好計算的整數的時候,往往使用借來借去法。
例如:
9999+999+99+9
=9999+1+999+1+99+1+9+1-4
3.拆分法
顧名思義,拆分法就是為了方便計算把一個數拆成幾個數。這需要掌握一些“好朋友”,如:2和5,4和5,2和2.5,4和2.5,8和1.25等。分拆還要注意不要改變數的大小哦。
例如:
3.2×12.5×25
=8×0.4×12.5×25
=8×12.5×0.4×25
4.加法結合律
注意對加法結合律
(a+b)+c=a+(b+c)
的運用,透過改變加數的位置來獲得更簡便的運算。
例如:
5.76+13.67+4.24+6.33
=(5.76+4.24)+(13.67+6.33)
5.拆分法和乘法分配律結合
這種方法要靈活掌握拆分法和乘法分配律,在考卷上看到99、101、9.8等接近一個整數的時候,要首先考慮拆分。
例如:
34×9.9 = 34×(10-0.1)
案例再現:57×101=?
6.利用基準數
在一系列數種找出一個比較折中的數字來代表這一系列的數字,當然要記得這個數字的選取不能偏離這一系列數字太遠。
例如:
2072+2052+2062+2042+2083
=(2062x5)+10-10-20+21
7.利用公式法
(1) 加法:
交換律,a+b=b+a
結合律,(a+b)+c=a+(b+c)
(2) 減法運算性質:
a-(b+c)=a-b-c,
a-(b-c)=a-b+c
a-b-c=a-c-b
(a+b)-c=a-c+b=b-c+a
(3):乘法(與加法類似):
交換律,a*b=b*a
結合律,(a*b)*c=a*(b*c)
分配率,(a+b)xc=ac+bc
(a-b)*c=ac-bc
(4) 除法運算性質(與減法類似):
a÷(b*c)=a÷b÷c
a÷(b÷c)=a÷bxc
a÷b÷c=a÷c÷b
(a+b)÷c=a÷c+b÷c
(a-b)÷c=a÷c-b÷c
前邊的運算定律、性質公式很多是由於去掉或加上括號而發生變化的。其規律是同級運算中,加號或乘號後面加上或去掉括號,後面數值的運算子號不變。
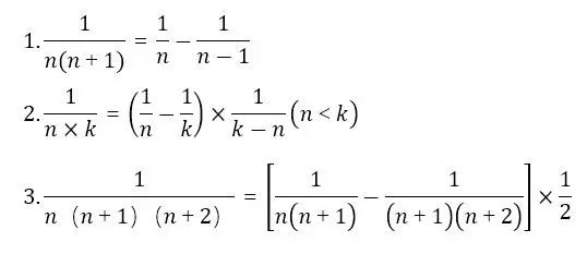
8.裂項法
分數裂項是指將分數算式中的項進行拆分,使拆分後的項可前後抵消,這種拆項計算稱為裂項法。
常見的裂項方法是將數字分拆成兩個或多個數字單位的和或差。遇到裂項的計算題時,要仔細的觀察每項的分子和分母,找出每項分子分母之間具有的相同的關係,找出共有部分,裂項的題目無需複雜的計算,一般都是中間部分消去的過程,這樣的話,找到相鄰兩項的相似部分,讓它們消去才是最根本的。
分數裂項的三大關鍵特徵:
(1)分子全部相同,最簡單形式為都是1的,複雜形式可為都是x(x為任意自然數)的,但是隻要將x提取出來即可轉化為分子都是1的運算。
(2)分母上均為幾個自然數的乘積形式,並且滿足相鄰2個分母上的因數“首尾相接”
(3)分母上幾個因數間的差是一個定值。
公式:
配套習題
